وجدت أنه من الأساسي الحديث عن السقوط الحر ما دمت قد أنشأت مدونة علمية، إذ إنها مسألة من المسائل الأساسية التي ينبغي الحديث عنها في أي منتدى علمي حتى وإن كان أكثر الناس قد باتوا على دراية بها. والآن دعني أسألك في المقدمة سؤالا: لو وقفت فوق سطح منزل وألقيت في نفس الوقت كتلتين إحداهما ثلاثة أضعاف الأخرى، فأيهما ستصل إلى الأرض أولا؟
أما بعد، فقد ورد في الأثر بسند ضعيف أن عالمنا جاليليو جاليلي قد صعد فوق برج بيزا المائل بإيطاليا وأذن في الناس أن يا قوم، أما والله قد علمت أنكم تنهجون نهج أرسطو في تفسير العالم فتؤمنون بأن العقل وحده قادر على استنباط جميع قوانينه وتباعا فإنكم تظنون أنني لو ألقيت الآن هذين الجسمين مختلفي الكتلة فإن الأكبر كتلةً سيصل إلى الأرض أولا، أوليس كذلك؟ قالوا نعم، قال فإني أزعم أنهما سيصلان في نفس الوقت، فشخر أحدُ الواقفين ونخر وقال: تبا لك يا جاليليو سائر اليوم، ألهذا جمعتنا؟ فألقى جاليليو الكتلتين فوصلتا في نفس الوقت. فبهت الذي كفر.
وإني لن ألغو هنا في النقاش الفلسفي الدائر حول هذه النقطة عن هدم جاليليو لإطار أرسطو الفكري فهناك من يرى أن هذه الحقيقة أيضا كان من الممكن أن نصل إليها بالاستنباط العقلي دون الحاجة إلى التجريب، لكن يكفي أن أقول هنا أنها على الأقل نبهتنا إلى أهمية التجربة وفضائلها فإننا أصلا ما كنا لنتجه إلى الإثبات العقلي لو لم تنبهنا التجربة إلى تلك الحقيقة. واكتشاف تلك الحقيقة كان بمثابة ثورة حينها. ما سأوجه إليه جهدي هنا هو شرح كيف تصل الأجسام الساقطة مختلفة الكتلة إلى الأرض في ذات الوقت، أو بعبارة أخرى: لماذا تسقط جميع الأجسام نحو الأرض بنفس العجلة (التسارع)؟
في البداية أود أن أقول إن جاليليو لم يعط تفسيرا لذلك الأمر، وإنما اكتفى بالإقرار بأن جميع الأجسام مهما اختلفت كتلتها تسقط نحو الأرض بنفس التسارع إذا أهملنا مقاومة الهواء. يمكن القول بأن التفسير الذي كان يمكننا تقديمه هو أن هذه خاصية من خواص الجاذبية وأننا قد اكتشفناها. لكن لماذا؟ هنا علينا الاستعانة بقوانين نيوتن التي ظهرت فيما بعد.
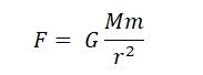
دعنا نبدأ أولا بقانون الجذب العام الذي صاغه نيوتن والذي ينص على أن قوة الجذب تساوي حاصل ضرب ثابت معين في حاصل ضرب كتلتي الجسمين المتجاذبين مقسوما على مربع المسافة بينهما. دعني أصغه لك بشكل رياضياتي حتى يسهل علينا استنباط بعض الحقائق منه:

نلاحظ هنا أن قوة الجذب تتنساب طرديا مع كتلة الجسم، وعكسيا مع مربع المسافة بينه وبين الأرض. ما يهمني هنا هو التناسب الطردي بين كتلة الجسم وقوة الجذب؛ فهذا يعني أنه كلما زادت كتلة الجسم زادت قوة جذبه نحو الأرض وهذا يتوافق مع ما كنا نظنه سابقا. إذن فالكتل الأكبر ستسقط نحو الأرض بشكل أسرع، أليس كذلك؟ إذن فقد كان ذلك الرجل محقا حين شخر ونخر وسب جاليليو. ولكن لماذا وصل الجسمان إذن في نفس الوقت؟ لماذا سقطا بنفس السرعة؟
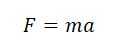
هنا ننتقل إلى قانون من أهم وأشهر القوانين الفيزيائية، وهو قانون نيوتن الثاني. الذي ينص على أنه إذا أثرت قوة على جسم ما، فإنها تكسبه تسارعا يتناسب طرديا مع هذه القوة وعكسيا مع كتلته. وأظن أن هذا يفترض أن يكون شيئا بديهيا بالنسبة لك. فلتفترض مثلا أن لدينا جسما ما وأثرنا عليه بقوة معينة، فماذا سيحدث إذا ضاعفنا القوة المؤثرة؟ بالتأكيد سيزداد تأثر ذلك الجسم ويتضاعف معدل زيادة سرعته. طيب، فماذا لو أثرنا بنفس القوة على جسم آخر ذي كتلة مضاعفة؟ ألن يكون تأثير القوة على جسمنا الثاني هذا ضعيفا بالنسبة لتأثيرها على الجسم الأول؟ لأوضح الأمر أكثر: لو أن هناك اثنين من اصدقائك يقفان أمامك أحدهما بدين والآخر هزيل، ألن تحتاج إلى قوة مضاعفة لتستطيع دفع صديقك البدين ذاك؟ لأن وزنه أكبر.

حسنٌ، والآن صار لدينا معطيان. فلنرتبهما هنا، ونحاول دمجهما لنصل إلى استنتاج موحد.
أولا: كلما كان الجسم أثقل كانت قوة جذب الأرض له أكبر.
ثانيا: كلما كان الجسم أثقل احتجنا إلى قوة أكبر للتأثير عليه.
أطلب منك أن تقرأ النقطتين السابقتين بتمعن، ولتحاول استخدام المنطق للربط بينهما. ارجع فاقرأهما ثانيةً وأنا سأنتظرك هنا، ثم عد إلي وأخبرني ما الذي استنتجته. ببساطة إن النقطتين يلغيان بعضهما أصلا؛ فالجسم الأثقل سينجذب نحو الأرض بقوة أكبر وفي نفس الوقت فإن الجسم الأثقل يحتاج إلى قوة أكبر حتى يكون التأثير عليه مساويا للجسم الأخف. ما يعني أن الأمر يبدو وكأنه لم يحدث شيء! الجسم الأكبر ينجذب بقوة أكبر لكنه أصلا يحتاج إلى قوة أكبر حتى نستطيع التأثير عليه، انتهى
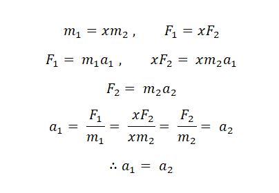
وإن كنت تحب الصياغات الرياضياتية مثلي، فدعني أعرض عليك الصياغة الرياضياتية للأمر:

أي أن تسارعي الجسمين متساويان، وعليه فإنهما يستغرقان نفس الزمن للوصول إلى الأرض مهما اختلفت كتلتاهما، ما دام فرق مقاومة الهواء صغيرا بحيث يمكن إهماله.

